![]()
ARCHIEF: artikelen van 2005
ARTIKELS ELEKTRONICA:
Elk mengpaneel is uitgerust met één of andere vorm van niveau-indicatie. Deze indicatie kan variëren van een bij pieken oplichtende LED over de traditionele VU-meter tot de piekmeter, uitgerust met naald-, LCD-, LED- of plasmadisplay. Zowel de VU-meter als de piekmeter worden beiden veel gebruikt. Op de Rodec zijn VU-meters aanwezig.
De klassieke meetmethodes worden gebruikt bij de meting van sinusvormige signalen. Die meetmethodes zijn echter onbruikbaar voor het meten van audiosignalen omdat de amplitude en de vorm van een audiosignaal voortdurend verandert in functie van de tijd. Als inleiding vermeld ik toch nog eens kort die methodes.
Voor het meten van sinusvormige signalen zijn er drie verwante waarden om de grootte uit te drukken:
De piekwaarde of maximumwaarde E max
De effectieve waarde E eff
De gemiddelde waarde E gem
![]()
De effectieve waarde van een wisselstroom is de waarde die een gelijkstroom zou moeten bezitten om in éénzelfde periode, in een gegeven weerstand, hetzelfde vermogen te ontwikkelen.
De gemiddelde waarde van een wisselstroom is het gemiddelde van de ogenblikswaarden van een hele periode. De gemiddelde waarde is dus nul. Meettoestellen die de gemiddelde waarde weergeven, duiden in feite de gemiddelde waarde aan van een dubbelfasig gelijkgericht signaal. Het is die waarde die hier voorgesteld wordt als E gem .
Tussen die 3 waarden is er volgende relatie:
![]()
De verhouding
![]()
noemt men de "form factor" of vormfactor .
De verhouding
![]()
noemt men de "crest factor" of topfactor .
Bij de meting van audiosignalen kan men de sterkte van de complexe golf niet uitdrukken in effectieve of gemiddelde waarden, want de grootte is veranderlijk in de tijd.
De VU-meter (Volume Unit) werd ontworpen in de jaren dertig en is sindsdien weinig veranderd. De VU-meter is het instrument dat best de gemiddelde luidheid (zoals waargenomen door ons gehoor) aangeeft.
Een VU-meter geeft het "volume" van een complexe golf aan. De term "volume" is een empirische waarde en zoiets kan niet uitgedrukt worden in precieze mathematische formules die een relatie zouden hebben met één van de bekende elektrische grootheden als E max , E eff of E gem . Het "volume" wordt bepaald door de aflezing van het meettoestoel met welbepaalde statische en dynamische eigenschappen.
Het is in essentie een galvanisch meettoestel, bestaande uit een naaldmeter, een gelijkrichterschakeling en een seriegeschakelde weerstand van 3,6 k ? . De meteruitslag ligt tussen de gemiddelde en de effectieve waarde.
Vanwege de niet-lineaire I/U-karakteristiek van de diodes van de gelijkrichter veroorzaakt het meettoestel een ontoelaatbare niet-lineaire vervorming. En om die vervorming binnen de toelaatbare perken te brengen, moet er een supplementaire weerstand van 3,6 k in serie geschakeld worden.
Het belangrijkste nadeel van een VU-meter is zijn trage stijgtijd en snelle daaltijd en dus het onvermogen om korte pieken realistisch te tonen.
In de praktijk betekent dit dat een VU-meter op een continu signaal wel degelijk een juiste aanduiding zal geven (er zijn dan immers geen pieken aanwezig), maar bij dynamische signalen zal je slechts een gemiddelde kunnen aflezen. De VU-meter heeft een integratietijd (de tijd die nodig is om bij een plots opkomende sinusspanning zo'n 80% van de waarde aan te duiden op de schaal) van ca. 160 ms, daar waar pieken in een dynamisch signaal een duurtijd van soms 0,1 ms kunnen hebben. De VU-meter heeft een trage stijgtijd door het magnetisch veld en de snelle daaltijd komt door de aanwezigheid van die veer.
De 0 VU-aanduiding bij een continu signaal komt overeen met +4 dBm of 1,23 V RMS. De schaal van een VU-meter is logaritmisch en gaat steeds van -20 tot +3, waarbij de schaalindelingen rechtstreeks overeenkomen met dB's (0 VU = +4 dBm; +3 VU = +7 dBm; -20 VU = - 16 dBm; .).
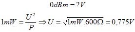
Even kort uitleggen wat dBm is. dBm vertegenwoordigd een vermogensverhouding met 1 mW als referentie, gedissipeerd in een weerstand van 600 ? .
0 dBm = 1 mW bij 600 ?
![]()

Wanneer een losse VU-meter gebruikt wordt, moet men dus rekening houden met de correcte belastingsimpedantie. Die meter is ontworpen voor een 600 ? -circuit.

Voorbeeld van hoe het moet:

Voorbeeld van hoe het niet moet:

Van waar komt die 600 ohm ? Dat was de impedantie van de antennes die gebruikt werden. AM- en FM-antennes en de kabels die ervoor gebruikt werden hebben allemaal een impedantie van 600 ?. Hoe hoger men ging in frequenties die door de kabel moesten, hoe lager de impedantie werd. Voor coax is dat 75 ohm. Voor SHF (Super High Frequencies) van boven de 3 GHz, gebruikt men zelfs al 50 ohm. Hoe lager de impedantie van een kabel, hoe hoger dat het afsnijpunt ervan ligt. Immers, een kabel is een RC-filter of laagdoorlaatfilter. Het afsnijpunt is gelijk aan
![]()
Die impedanties zijn van belang belang voor hetgeen wat we gezien hebben in het hoofdstuk over versterkers, nl. vermogensoverdracht.
Terug naar de VU-meter. Vanwege de relatief grote integratietijd zal men bij de mting van complexe signalen de meteruitslag moeten interpreteren. Kijk naar het voorbeeldje hieronder. De meetfout zal des te groter zijn naargelang de topfactor groter is. Voor een continu-sinussignaal is er geen meetfout. De gemiddelde afleesfout van een dynamisch signaal op een VU-meter stelt men vast op 9 dB. Dus indien er gemoduleerd wordt tot 0 VU, overmoduleren we eigenlijk met pieken tot +14 dBm. Dit nadeel vinden velen een goed punt van de VU-meter. Een VU-meter geeft dan immers de gemiddelde luidheid aan. Ons gehoor ervaart de eventuele vervorming als niet storend op voorwaarde dat de vervorming van zeer korte duur is.
Voorbeeld: audiosignaal met een frequentie f = 6,25 Hz, dit is een periode 1/f = T = 160 ms



Om die afleesfout weg te werken wordt het signaal van een VU-meter soms 9 dB extra versterkt. Deze werkwijze verplaatst enkel het werkgebied, maar verandert niets aan de werking en eigenschappen van de meter. Als je een nauwkeurige niveau-aanduiding wilt, is het beter met een piekmeter te werken.
De piekmeter of PPM-meter (Peak Programma Meter) heeft een ingebouwde driver-versterker die spanningspieken detecteert en deze afficheert op een PPM-schaal.
De stijgtijd van de meter is zeer kort (10 tot 1 ms). Deze spanningspiek wordt opgeslagen in een condensator die daarna terug ontlaadt via een hoge weerstand (dus een trage ontlading van ongeveer 1,5s). Het voordeel hiervan is dat pieken gemakkelijk kunnen bekeken en geïnterpreteerd worden. Pieken die even snel van de schaal verdwijnen als ze gekomen zijn, zijn voor waarneming door ons oog een zeer vermoeiende bezigheid!

Er bestaat een Europese DIN-piekmeter en een BBC-piekmeter. Over die laatste zal ik het niet hebben omdat we hem hier (praktisch) nooit zullen tegenkomen!

De DIN-piekmeter heeft een ingebouwd hoog-af filter (12 dB/oktaaf vanaf 20 kHz) om de niet-relevante pieken (harmonischen boven de 20 kHz) af te zwakken.
De schaal van een analoge DIN-piekmeter gaat van -50 dB tot + 5 dB. De schaal is uitgerekt rond de 0-aanduiding om piekaanduidingen beter zichtbaar te maken.
De elektronische schakeling is gebaseerd op comparators. De onderstaande figuur geeft het principe. Door de waarde van de weerstanden R 1 , R 2 ,., R n aan te passen kan rechtstreeks een logaritmische schaal verkregen worden.

Tot zover een beknopt overzicht van een mengpaneel a.d.h.v. het blokschema van een Rodec MX180.
Keer terug naar het eerste hoofdstuk
Keer terug naar het vorige hoofdstuk
INHOUD: "Het mengpaneel van de DJ":